|
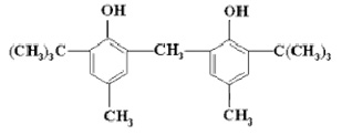
| 2,2'-Methylenebis(6-tert-butyl-4-methylphenol) |
Chemical Name: 2,2'-Methylenebis(6-tert-butyl-4-methylphenol) 2246(BKF) Molecular Formula: C23H32O2 Structural Formula:
Product Specifications: Appearance:White crystalline powder Melting Point:125-133 °C Content:≥99% Ash:≤0.1% Volatile:≤0.5% Melting Hue:≤60APHA
Packaging: Antioxidant 2246 stable, no special storage requirements, to avoid high temperatures and humidity during storage . With inner drum lined with plastic bag , net weight 25kg / drum , can also be designed according to customer requirements . Product TDS download please click here /Public/userfiles/files/TDS HSM-2246(BKF).pdf |
Office:No.104,#16,Yinhewan,Yingbin Road No.8,Tunxi District,Huangshan City.
Factory(1):Huizhou District,Huangshan City,Anhui Province.
Factory(2):Dongying City,Shandong Province.
Factory(3):Yangkou Town,Shouguang City,Shandong Province.
Tel:+86-559-2335676-888
Mobile:+86-18955921600
Fax:+86-559-2331637
CEO:Mr.John Xu
E-mail:[email protected]